로열젤리가 피부 주름을 개선하는데 효과가 있는 것으로 나타났습니다. 꿀벌이 죽거나 사라지면서 어려움을 겪고 있는 양봉농가에 새 소득원이 될 것으로 기대됩니다. 새로운 효능에 대해 알아보겠습니다.

'로열젤리'는 무엇일까요?
'로열젤리'는 한문으로는 '왕유'(王乳), 영어로는 'royal jelly'로 표기합니다. 여왕벌의 먹이로 알려져 있는데 어린 일벌의 머리에 있는 하인두선에서 분비되는 우윳빛 물질입니다. 알에서 부화한 유충은 처음 3일간은 모두 로열젤리를 먹이로 먹습니다. 그 이후에도 3일간 로열젤리를 계속 먹으면 여왕벌이 되고 꽃가루와 꿀을 먹으면 일벌이 됩니다. 처음에는 다 같은 알로 태어나지만 먹이에 따라 여왕벌-수벌-일벌로 나누어져 생활합니다.
로열젤리에는 양질의 단백질과 지방, 탄수화물, 비타민, 아미노산을 비롯해 다양한 생리활성물질이 함유돼 활력을 증진하고 영양을 공급해 피로회복과 면역력 향상에 좋습습니다. 특히 10-HDA, '하이드록시데센산'은 로열젤리에 있는 고유한 물질로 항암과 노화예방 효과가 있는 것으로 알려져 있습니다.
로열젤리 피부 주름 개선 효과 확인
농촌진흥청이 세명대 연구팀과 함께 국산 동결건조 로열젤리 함유 화장품이 피부 주름 개선에 효과가 있다는 사실을 밝혀냈습니다. 사람 피부의 탄력과 강도를 유지하는 HDFs 세포는 자외선에 노출될 경우 그 세기에 따라 생존율이 감소하는데 로열젤리의 농도에 따라 세포 생존율이 증가하는 것으로 나타났습니다. 특히 앞서 말한 10-HDA, 하이드록시데센산을 추출해 사용하면 더 효과적인 것으로 나타났습니다.
![]() |
▲자외선의 세기에 따라 세포 생존율 감소 ▲14mJ/㎠ 세기 때 세포 50% 이상 감소 |
![]() |
▲14mJ/㎠ 세기의 자외선에 노출 ▲동결건조 로열젤리 처리 시 세포 생존율 증가 확인 ▲농도 높을수록 세포 생존율 증가 |
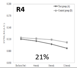
실험은 동결건조한 로열젤리 0.5%가 함유된 화장품을 40명을 대상으로 12주간 사용한 뒤 피부의 주름 정도를 나타내는 5가지 인자를 측정하는 방식으로 진행됐습니다. 실험 결과 모든 인자에서 개선 효과가 확인됐습니다. 주름의 깊이를 나타내는 R1 인자는 20%, 거친 정도를 나타내는 R5 인자는 21%의 개선 효과가 확인됐습니다.
![]() |
▲R1 (주름의 깊이 척도) 주름 거칠기에서 가장 높은 peak와 가장 낮은 peak 차이 값 ▲대조군(무처리군) 대비 20% 개선 효과 |
![]() |
▲R4(주름 깊이의 평균값 척도) 피부 주름의 평균 깊이를 의미 ▲대조군(무처리군) 대비 21% 개선 효과 |
![]() |
▲R5(거친 정도 척도) 피부의 평균 거칠기를 의미 ▲대조군(무처리군) 대비 21% 개선 효과 |
로열젤리 새로운 소득원으로 기대
꿀벌 폐사와 대량 실종으로 어려움을 겪고 있는 양봉농가는 꿀을 대신할 대체 수확물로 '로열젤리'와 '프로폴리스'로 눈길을 돌리고 있습니다. 동면 시기를 제외한 3월에서 10월까지 채집이 가능한데다 기후변화에도 큰 영향을 받지 않는 장점이 있습니다. 식품이기 때문에 화장품의 원료로 사용해도 안전하고 기능성 성분이 이미 알려져 가격도 꿀 보다 3배~10배나 더 높습니다.
문제는 전문 기술을 익혀야 하는데다 고가에 판로도 상대적으로 제한적이라는 것인데 이번 연구결과로 화장품 신소재로 활용도가 높아져 양봉 농가의 소득향상에 큰 도움이 될 것으로 기대됩니다.
한편, 꿀벌 실종과 폐사를 막기 위한 대책도 본격 추진되고 있습니다. 충청남도는 꿀벌에게 먹이를 제공하는 나무 800만 그루를 심어 축구장 4,700여 개 크기의 '꿀벌 먹이숲'을 조성했습니다. 기후변화와 전염병에 강한 품종 육성도 시도되고 있습니다. 농촌진흥청이 국내 최초로 개발한 '장원벌'은 번식력이 왕성하고 기존 꿀벌보다 꿀 수집 능력이 30% 이상 뛰어납니다. 또 '한라벌'은 '낭충봉아부패병'에 대한 저항성이 높습니다. '낭충봉아부패병'은 벌집 속에서 자라는 애벌레의 소화기관이 바이러스에 감염돼 폐사하는 것으로 토종벌에게는 치명적이지만 외래종 벌의 피해는 적어 '토종벌 괴질'이라고도 불리며 큰 피해를 입혔습니다. 경북과 충남, 전남 등 3곳에 꿀벌 증식장이 조성됐고 2025년부터 본격적으로 보급될 예정입니다.
![]() 장원벌 |
▲벌꿀 다수확용 품종 농촌진흥청-예천곤충연구소 공동개발 ▲기존 꿀벌보다 꿀 수집능력 30%↑ 번식력 왕성, 벌통 1개당 일벌 수 45%↑ |
![]() 한라벌 |
▲낭충봉아부패병 저항성 품종 토종벌 수집, 바이러스 주입해 살아남은 개체로 육성 ▲토종벌 보다 생존력 10배 ↑ 성질, 모양 달라 토종 논란 있음 |
우리나라는 2020년 기준으로 토종꿀벌은 4% 불과하고 나머지 자리는 외래종 양봉꿀벌이 차지하고 있습니다. 호주 애들레이드 대학은 사람을 위해 꿀을 생산하도록 도입된 외래종 꿀벌이 토종 야생 꿀벌에 부정적인 영향을 미친다는 연구 결과를 내놓은 바 있습니다. 꿀벌의 위기는 우리 생태계의 건강성을 지켜낼 근본적인 대책이 서둘러 마련되야 한다는 사실을 보여주고 있습니다.
[함께 보면 좋은 글 추천]
‘뒤영벌’로 ‘꿀벌’ 대체‥멜론 화분 매개 효과 확인
꽃가루 수정을 해야 하는 딸기나 멜론 재배 농가는 요즘 꿀벌의 대량실종으로 더욱 큰 어려움을 겪고 있는데 멜론의 경우 화분 매개 벌로 꿀벌 대신 뒤영벌을 투입해도 효과적인 것으로 나타났
all.world-curiosity.com
'농업이 미래다' 카테고리의 다른 글
| ‘할매니얼’ 약과·식혜 더 맛있게 ‥ 엿기름 제조 기술 개발 (0) | 2023.07.09 |
|---|---|
| 치유농업, 치매와 우울증 개선 효과‥치유농업사 자격시험은? (0) | 2023.07.02 |
| ‘오디’ 효능 ‘소화 기능 개선’‥기능성 식품·의약품 개발 추진 (0) | 2023.06.06 |
| ‘뒤영벌’로 ‘꿀벌’ 대체‥멜론 화분 매개 효과 확인 (0) | 2023.06.01 |
| 방울토마토와 기후변화 … 밥상의 위기 (0) | 2023.04.11 |






